3 Sinc取样光纤光栅[3]
由于矩形函数的傅立叶变换是Sinc函数,因此取样光纤光栅反射谱分布呈现Sinc包络分布,这造成了各个信道的反射率严重的不一致。显然,这对DWDM系统是非常不利的。为实现各个信道反射率一致,人们引入了Sinc取样光纤光栅,此时式(1)对应的取样函数 为:

其中 是信道数, 是整个光栅的长度,P是取样周期。函数 中符号的改变可以通过在相邻的折射率系数包络间插入p相移来实现[3]。图7是啁啾Sinc取样光纤光栅折射率调制系数及插入相移位置的示意图[3]。

图8-9分别是南安普敦大学Ibsen等人制作出的10厘米长Sinc取样光纤光栅反射谱[3]和Sinc取样光纤光栅数值模拟结果。由二图可知,8信道Sinc取样光纤光栅产生8个反射率一致的反射波长,其两侧也不存在其它波长,可见Sinc取样光纤光栅可以产生反射率非常一致的多通道波长。


数值模拟和实验结果均表明,Sinc取样光纤光栅有着非常好的反射谱曲线,然而它的制作非常困难,无论是对幅度的Sinc函数调制还是p相移插入的控制要求都非常高,目前只有Ibsen等人制作出这种光纤光栅;而且,这种调制方式的光纤光栅利用率也较低,它所需要的折射率调制系数是单信道调制系数的N(信道数)倍[6]。
4 Dammann取样光纤光栅[4-5]
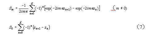
Dammann光栅是一种二元相位光栅,它产生一系列间隔相等,强度相同的光斑。为制作Dammann取样光纤光栅,需要在取样周期内插入许多 相移。Dammann取样是指在每一个取样周期内有K个长度不同的光栅存在二元(0和p)相位突变,其函数式表示如下:

zn(n=0, 1,××××××K)指的是相位变换的位置。
其傅立叶级数

当需要的信道数是奇数个(N=2M+1)时,我们可以求解方程:

利用数值算法,求出符合要求的一系列值zn,从而找出相位突变的位置,可以制作出反射率比较均衡的Dammann光纤光栅。当需要的信道数是偶数个(N=2M)时,我们可以求解方程:

由于偶数阶级数都等于0,而只存在奇数阶傅立叶级数,因此信道间隔是奇数个信道时的2倍。显然,为获得相同的信道间隔,其取样周期应该是奇数个信道时的2倍。图10是Dammann取样函数相位图及光纤光栅反射谱数值模拟结果[4],图11是Dammann取样光纤光栅实验结果[4]。
Dammann取样光纤光栅的优点是光栅的利用率提高,反射谱的一致性很好。但是它的制作精度要求较高,且带外串扰也比较大,对于OXC、OADM等对带外串扰要求较严格的网络节点不适用。


5 最优化折射率设计取样光纤光栅[6]
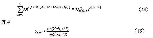
为获得反射率一致、折射率调制系数最低的取样光纤光栅,人们对它进行了优化设计。对于所设计的具有N个反射信道的光栅,我们可以直接将其折射率调制系数设定为N个空间频率差一致的单信道光栅之和,即[6]:

其中 ,L是光栅周期, 是信道间隔, 是每一个单信道光栅引入的相位, 是单信道时有效折射率调制系数。Q是取样函数的振幅, 是光栅的相位变化。

当 ,即各个单信道不存在相位差时,我们可以直接求解出公式(11):

这就是Sinc函数取样,从公式(15)可以看出,它的最大值为N,也就是说:对于具有N个反射通道的Sinc函数取样光栅,它需要的最大折射率调制系数是单个通道光栅的N倍。
而由公式(13)可知:
当Q是常数时,它的值为: 。可见,合理选择相位角 ,可以极大地减小Q的最大值,其理论极限是 。因此,通过选择适当的相位角 ,可以获得N个反射率一致的信道,同时它所需的最大折射率调制系数近似是单个通道光栅的 倍。
图12(a)、(b)分别是6信道优化设计取样光纤光栅的振幅和相位调制曲线。

图13是6信道优化设计取样光纤光栅反射谱数值模拟结果。

由以上数值模拟结果可知,最优化的设计可以使得反射谱的每个信道的反射率一致,反射带外没有附加的反射峰,而且它的最大折射率调制系数仅为3.25′10-4,远小于6′10-4,比Sinc取样所需的最大折射率调制降低近45%。但是由图12可见,这种光纤光栅的振幅和相位调制较复杂,在实际制作中非常难控制。
三 结论
以上介绍了5种取样光纤光栅,它们各有优缺点:矩形取样光纤光栅制作简单,但利用率较低,且各反射峰一致性非常差;interleaver取样光纤光栅利用率提高了,但是它的制作相对复杂,要均匀地间插反射谱波长需要实验的不断摸索;sinc取样光纤光栅反射谱各信道波长具有非常好的一致性,然而它的利用率也较低,且制作难度较大;Dammann取样光纤光栅利用率高,各信道波长的一致性较好,但是存在旁瓣,且制作难度也比较大;最优化折射率设计取样光纤光栅利用率高,各信道波长的一致性也非常好,没有任何旁瓣,但是它的制作难度很大。
文章来源于领测软件测试网 https://www.ltesting.net/
版权所有(C) 2003-2010 TestAge(领测软件测试网)|领测国际科技(北京)有限公司|软件测试工程师培训网 All Rights Reserved
北京市海淀区中关村南大街9号北京理工科技大厦1402室 京ICP备10010545号-5
技术支持和业务联系:info@testage.com.cn 电话:010-51297073










