• 软件测试技术
  • 软件测试博客
  • 软件测试视频
  • 开源软件测试技术
  • 软件测试论坛
  • 软件测试沙龙
  • 软件测试资料下载
  • 软件测试杂志
  • 软件测试人才招聘
    暂时没有公告

字号: | 推荐给好友 上一篇 | 下一篇

一个完整的白盒测试用例[1]

发布: 2010-2-21 10:53 | 作者: 不详 | 来源: 领测软件测试网采编 | 查看: 954次 | 进入软件测试论坛讨论

领测软件测试网

  一个完整的白盒测试用例[1]   用例设计 

    请为以下程序模块设计一个白盒测试用例

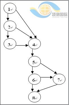
  第一步:画出控制流图:

延伸阅读

文章来源于领测软件测试网 https://www.ltesting.net/

TAG: 白盒


关于领测软件测试网 | 领测软件测试网合作伙伴 | 广告服务 | 投稿指南 | 联系我们 | 网站地图 | 友情链接
版权所有(C) 2003-2010 TestAge(领测软件测试网)|领测国际科技(北京)有限公司|软件测试工程师培训网 All Rights Reserved
北京市海淀区中关村南大街9号北京理工科技大厦1402室 京ICP备2023014753号-2
技术支持和业务联系:info@testage.com.cn 电话:010-51297073

软件测试 | 领测国际ISTQBISTQB官网TMMiTMMi认证国际软件测试工程师认证领测软件测试网