摘 要 首先介绍了数据通信用梯度折射率塑料光纤的制造方法及性能;其次阐述了在高带宽梯度折射率塑料光纤上进行的数据传输应用。
关键词 数据通信 带宽 梯度折射率 塑料光纤
前言多年来,单模石英玻璃光纤和梯度多模石英玻璃光纤一直是光网络的唯一传输媒质。石英玻璃光纤的优点在于它们具有极大的带宽、非常小的衰减和长期的可靠性。但是石英玻璃光纤也具有价格高、安装时需要专门的接续技术等缺点,从而限制了它们在短距离数据传输光网络中的广泛应用。今天,移动通信环境用户对数据通信业务带宽的需求日益增长,从而带动了短距离数据传输光纤通信网络的不断扩容。现在,连接个人计算机和工作站的局域网(LAN)80%以上使用的是以太网。以太网优于其他LAN之处是传输容量可以超过吉比特(Gbit/s),甚至达到了几十吉比特。作为吉比特以太网的传输媒质一直是人们探讨的热点。为了积极寻找低成本、高可靠、易连接的短距离数据传输用的新型光传输媒质,自20世纪60年代以来,众多发达国家,如日本、美国、德国等国的著名大学和研究机构纷纷展开了塑料光纤(POF)的研究。由于POF具有制造简单、纤芯直径非常大、接续方便(通过简单剪断后就可以进行机械和光学耦合)、线路成本便宜等优点,故被用作光纤线路的传输媒质。然而,早期的人们研究出的POF是阶跃折射率塑料光纤(SI-POF)。SI-POF被应用于短距离、低速率的数据传输网。由于SI-POF是由聚甲基丙烯酸(PMMA)制成的,所以PMMA SI-POF在数据传输网中应用存在衰减大和带宽小的问题。PMMA SI-POF在650nm波长的衰减系数可达到130dB/km,最长传输距离为50 m,带宽也只有几十MHz•km。为了解决PMMASI-POF的衰减和带宽问题,1996年,日本研制出了由氟化聚合物(PF)制成的低衰减 、高带宽的梯度折射率塑料光纤(GI- POF),其在1 300nm波长的衰减系数为50dB/km,带宽超过10 GHz•km。
最近几年,在GI-POF、价格便宜的注塑连接器、光源和单信道及多信道数据传输试验系统等研究方面已经取得了令人注目的成果,进而使GI-POF即将成为光纤到户中数据传输线路的首选传输媒质。
本文首先介绍数据通信用GI-PO的制造方法及性能,其次阐述在GI-PO上进行的单信道和多信道(波分复用)的数据传输应用情况,以供从事光纤通信工作的读者参考。
1 光纤制造
作为短距离、高带宽数据传输媒质的GI-POF的制造,应该着重研究解决的问题有:
a) 从材料选择和制造工艺上设法降低衰减;
b) 以精确地控制折射率分布来获得高的带宽;
c) 提高高温、高湿下的稳定性;
d) 改善弯曲损耗等。
GI-POF是采用的先制棒后拉丝的两步工艺法制造的方,即首先按照光纤波导要求设计出光纤的折射率分布结构,其次用界面凝胶聚合法制造一根外径大约为22 mm的GI-POF光纤预制棒;再将该预制棒放入一个拉丝炉内,将预制棒加热到220~230℃拉成芯径大约为500 μm,外径大约为750 μm的GI-POF。
与传统的石英玻璃光纤制造的气相沉积法不同,GI-POF的制造采用界面凝胶聚合法。气相沉积法是通过精密控制的高温气相沉积法来获得所需要的波导结构的光纤。界面凝胶聚合法是利用界面凝胶聚合过程在用提纯的甲基丙烯酸(MMA)单体通过聚合反应制成一根直径为22 mm的PMMA管(管的内径大约为外径的60%)。PMMA管中被充满着MMA单体、掺杂剂、聚合引发剂、链转移剂的混合液。将充满着这种单体混合液的PMMA管放入一个温度为90℃的油浴中进行加热,引起聚合反应。PMMA管的内壁逐渐被单体掺杂混合液溶胀,以形成聚合物的凝胶相。由于“胶体效应”,一般聚合反应的速率比凝胶相中的反应速率要快得多,因此,聚合物的生长是从PMMA管的内壁向管的中心进行的。在这个聚合反应过程中,与掺杂剂分子体积相比,MMA单体很容易扩散进入凝胶相。究其原因是掺杂剂分子体积比单体分子体积大得多。这样,掺杂剂分子就集中在PMMA管的中心区,从而形成了一个几乎呈现平方律的折射率分布。在控制折射率分布中,聚合物反应起着十分重要的作用,因为聚合物反应速度影响着MMA单体和掺杂剂分子扩散进入到在PMMA管的内壁所形成的聚合物凝胶相。通过改变掺杂剂、聚合引发剂、链转移剂的种类和浓度可以控制 GI-POF的折射率分布。
2 光纤性能
2.1 几何尺寸
一般,GI-POF的纤芯直径大约为500 μm,包层直径大约是750~1 000μm。GI-POF的几何尺寸受下列几个因素的限制:
a) GI-POF的纤芯直径应该按照所要求的宽松的容差与注塑连接器进行连接;
b) GI-POF与现有的光收发器的耦合应该不会降低带宽性能;
c) 所选择的GI-POF外径应该满足成缆工艺和管道安装等操作所承受的负荷作用,如外径为500μm以内的GI-POF,在1kg负荷作用下,不会产生永久变形的要求。
2.2 衰减
绝大多数通信用塑料光纤是由聚PMMA和PF制成的。通常,GI-POF的衰减是由吸收、散射和弯曲损耗共同作用造成的。每种材料都有着其本征的吸收损耗,一旦制造GI-POF的材料选定后,它的本征吸收损耗就确定了。要想制造出低衰减的GI-POF,需采取以下措施:
a) 减小掺杂剂的浓度,以降低散射损耗;
b) 提高GI-POF的数值孔径,增加导光能力,以改善弯曲损耗。
减小GI-POF衰减的具体做法是利用高折射率的高分子材料作为掺杂剂,使其掺杂浓度下降,从而减少了光纤中的光散射。另外,采用高折射率的高分子材料作为掺杂剂还可以提高GI-POF的数值孔径,如用5wT%联苯硫化物掺杂剂获得的GI-POF的数值孔径为0.27,而由PMMA包层GI-POF的数值孔径仅为0.21。一般,PF包层GI-POF在650nm波长的衰减系数为130~160 dB/km。另外,由于PF包层GI-POF的掺杂浓度减少了1/2以上,使得光纤的弯曲损耗呈指数律下降。表1给出了两种GI-POF的衰减和带宽性能的最新水平。

为了减小GI-POF的光散射损耗,塑料光纤预制棒采用两步界面凝胶聚合工艺法,即首先在作为光纤包层的聚合物管子的内壁涂覆上一薄薄的均匀聚合层,在均匀聚合层聚合之后,再将单体/掺杂剂的混合物注入光纤包层的聚合物管中完成预制棒芯区域的聚合。包层的聚合物管内壁的均匀聚合层,可以有效地减小GI-POF的光散射损耗,以达到降低GI-POF衰减的目的。
2.3 带宽
众所周知,GI-POF的带宽主要由光纤的模间色散和材料色散所决定。模间色散不仅与纤芯的折射率分布形状有关,而且与可能存在的模耦合程度和微分模衰减有关。
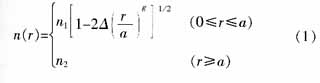
一般减小模间色散的方法是想方设法在多模光纤中形成一个平方律的折射率分布。折射率分布形状,即折射率指数的参数g对多模光纤的带宽影响起着至关重要的作用。为了定量分析GI-POF的折射率分布和带宽之间的关系,GI-POF纤芯的折射率分布可以用指数律公式描述。式(1)既可以解释GI-POF的折射率分布形状,又可以反映优化折射率分布的GI-POF的最大带宽:

式中:
n1——纤芯的折射率
n2——包层的折射率
r——离开纤芯中心的距离
a——纤芯半径
g——折射率指数
Δ——相对折射率差
相对折射率差Δ可定义为

g的值可以决定折射率分布的形状。
为提高GI-POF的带宽,在制造GI-POF时,要想方设法降低模间色散、材料色散和折射率分布色散,具体的做法是:通过调整掺杂剂、聚合引发剂、链转移剂的种类、浓度和预制棒芯区聚合反应速度,控制 GI-POF的折射率指数g为2.7左右。例如,日本庆应大学最近报道了用界面凝胶聚合法研制出的几种POF的带宽与折射率指数g的关系(见表2)。

PMMAGI-POF的材料色散比石英玻璃的材料色散要高得多,而PFGI-POF的材料色散比石英玻璃的材料色散要小得多。GI-POF的理想折射率分布的潜在带宽可以达到10 GHz•km。
在PFGI-POF的纤芯能够观察到非常大的低色散区,所以通过限制注入这个低色散区的光功率就可以简单地提高PFGI-POF的有效带宽。已经在PFGI-POF上进行了波长范围为850~1 300nm,传输速率为10 GHz/s的传输试验。另外,因为GI-POF折射率分布形状是由掺杂剂的扩散而形成的,所以PFGI-POF的长期老化作用是否影响GI-POF的带宽仍然是一个人们十分关心的问题。
2.4 可靠性
GI-POF的长期可靠性问题实质上就是在较高的温度下工作时GI-POF的折射率分布形状是否稳定的问题。因为掺杂剂材料不能完全与聚合物相结合,所以GI-POF折射率分布形状的稳定性就取决于掺杂剂在玻璃态聚合物基体中的有效迁移率。抑制掺杂剂扩散的主要办法是通过选择大分子的掺杂剂和避免使GI-POF工作在聚合物/掺杂剂混合物的玻璃转变温度Tg附近。一般,GI-POF中所用的掺杂剂分子量单位(道尔顿)的范围从几百至几千。
在聚合物/掺杂剂混合物的玻璃转变温度Tg以上,掺杂剂主要是菲克扩散反应。在低温度下,掺杂剂扩散反应几乎遵循的是聚合物链的分子运动动力学。在系统的Tg所包含的一个小的温度范围,如-10~20℃掺杂剂扩散率降低了几个数量级。掺杂剂扩散率主要由掺杂剂浓度所决定,因此,为了保证GI-POF长期可靠地工作,最好将GI-POF的工作温度选择在室温或者聚合物/掺杂剂混合物的Tg以下。
文章来源于领测软件测试网 https://www.ltesting.net/
版权所有(C) 2003-2010 TestAge(领测软件测试网)|领测国际科技(北京)有限公司|软件测试工程师培训网 All Rights Reserved
北京市海淀区中关村南大街9号北京理工科技大厦1402室 京ICP备2023014753号-2
技术支持和业务联系:info@testage.com.cn 电话:010-51297073










