
将该矩阵与变换矩阵W相乘,可以得到新的矩阵C’。

矩阵C’和D相比,C’的第一行的数据要明显的变大,其他的数据大部分都变小,能量在朝第一行集中。如果在此基础上将矩阵C’继续与变换矩阵W相乘,则可以将能量朝矩阵的左上角转移。

经过上面两步的运算,能量朝左上角集中,降低了矩阵中数据的相关性。在此基础上对矩阵C进行量化后,便可以形成利于RLE压缩的数据。而由于将能量转移到左上角,所以对于其他的数据进行量化处理,并不会造成比较大的信息损失。
5、DCT的原理
离散余弦变换,简称DCT ,是一种实数域变换,其变换核为余弦函数,计算速度快。DCT 除了具有一般的正交变换性质外,它的变换阵的基向量能很好地描述图像信号的相关特征。因此,图像信号的变换中,DCT 变换被认为是一种准最佳变换。近年颁布的一系列视频压缩编码的国际标准建议中,都把DCT 作为其中的一个基本处理模块。而且对于具有一阶马尔柯夫过程的随机信号,DCT十分接近于Karhunen - Loeve 变换,也就是说它是一种最佳近似变换。
DCT变换在图像压缩中有很多应用,它是JPEG、MPEG等数据压缩标准的重要数学基础。在JPEG压缩算法中,先将输入图像划分为8 ×8 或16 ×16的图像块,对每个图像块作DCT 变换,然后舍弃高频的系数,并对余下的系数进行量化以进一步减少数据量;最后使用无失真编码来完成压缩任务。解压缩时首先对每个图像块做DCT 反变换,然后将图像拼接成一副完整的图像。
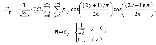
6、DCT 变换的定义
由于图像是二维相关的,因此DCT变换在图像处理中的应用通常也是二维的。二维DCT变换的公式定义为:

文章来源于领测软件测试网 https://www.ltesting.net/










